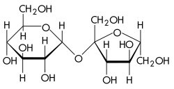
Saxaroza (C12H22O11), disaxaridlərin ən mühüm və ən çox yayılmış nümayəndəsi olub əsasən, şəkər çuğundurunun (12–20%) və şəkər qamışının (14–26%) tərkibində olur. Ona görə də onu şəkər çuğundururu və ya qamış şəkəri adlandırırlar. Saxaroza, həmçinin, bir çox meyvə və tərəvəzlərin tərkibinə daxildir. Saxarozanın molekulu α-qlükoza və β-fruktozanın qalıqlarından ibarətdir. Saxarozanın əmələ gəlməsində hər iki monosaxaridin qlikozid-OH qrupları iştirak edir və nəticədə qlükoza və fruktoza bir molekul su ayıraraq bir-birilə oksigen atomu vasitəsilə birləşir.
| Saxaroza | |
|---|---|
| |
| |
| Ümumi | |
| Kimyəvi formulu | C12H22O11 |
| Fiziki xassələri | |
| Molyar kütlə | 42,2965 ± 0,0144 q/mol |
| Sıxlıq | 1,587 q/sm³ |
| Termik xüsusiyyətlər | |
| Ərimə nöqtəsi | 186 °C |
| Buxarın təzyiqi | 0 ± 1 mm Hg |
| Təsnifatı | |
| CAS-da qeyd. nöm. | 57-50-1 |
| PubChem | 5988 |
| EINECS-də qeyd. nöm. | 200-334-9 |
| SMILES | |
| InChI | |
| RTECS | WN6500000 |
| ChEBI | 17992 |
| ChemSpider | 5768 |
| Məlumatlar normal şərait (25 °C, 100 kPa) üçün verilmişdir. | |
Alınması
Sənayedə saxaroza şəkər qamışından və şəkər çuğundurundan ayrılır. Bunun üçün çuğundur xüsusi maşında xırda doğranılır və üzərinə qaynar su əlavə edilib qarışdırılır. Bu zaman çuğundurun tərkibindəki saxaroza həll olaraq məhlula keçir. Kənar qatışıqları çökdürmək üçün məhlul əhəng südü ilə işlənilir. Bu prosesdə saxaraza kalsium — hidroksidlə C12H22O11•CaO•2H2O tərkibli kalsium-saxarat əmələ gətirir. Məhluldakı kalsium-hidroksidin artığını və kalsium-saxaratın tərkibindəki kalsiumu çökdürmək üçün məhlula karbon dioksid buraxılır.
Fiziki xassələri
Saxaroza rəngsiz monoklinik kristaldır. Əridilmiş saxarozadan soyudulduqda amorf rəngsiz kristal – karamel alınır. Saxaroza yüksək həllolma qabiliyyətinə malikdir. Həllolma (qramlarla 100 qram həlledicidə): suda 179 (00C) və 487 (1000C), etanolda 0,9 (200C). Metanolda isə az həll olur. Dietil efirində həll olmur. Sıxlığı 1,587q/sm3, ərimə temperaturu 1860C –dir.
Kimyəvi xassələri
Saxaroza (adi şəkər) — qlükozadan çox şirin və suda çox yaxşı həll olan ağ kristal maddədir. Saxaroza H+ ionunun iştirakı ilə qızdırıldıqda hidrolizə uğrayır. Bu zaman qlükoza və fruktoza əmələ gəlir.
C12H22O11 + H2O → C6H12O6 + C6H12O6
Saxaroza çoxatomlu spirt kimi fəal metallarla, metal hidroksidləri [(Ca(OH)2, Cu(OH)2 ilə suda həll olan saxaratlar əmələ gətirir, mis(II)hidroksidlə mis(II)saxaratın parlaq göy rəngli məhlulunu əmələ gətirir. Molekulunda aldehid qrupu olmadığından saxaroza "gümüş-güzgü" reaksiyası üzrə və mis(II)hidroksidlə oksidləşmir. Yandırıldıqda saxaroza karbon-dioksid və suya oksidləşir.
Saxaroza molekullarının 3D görünüşü
Şəkərin qəhvəyi kristalları
Saxarozanın özündən başqa 2 izomeri vardır: maltoza vəlaktoza. Maltoza səməninin təsiri ilə nişastadan alınır. Ona səməni şəkəridə deyilir. hidrolizə uğradıqda qlükoza çevrilir:
C12H22O11 + H2O → 2C6H12O6
Laktoza (süd şəkəri) süddə olur. Hidrolizə uğradıqda qlükoza və onun izomeri olan qalaktozaya parçalanır:
C12H22O11 + H2O → C6H12O6 + C6H12O6
vikipedia, viki, ensiklopediya, kitab, məqalə, oxumaq, pulsuz yüklə, Saxaroza haqqında məlumat. Saxaroza nədir? Saxaroza nə deməkdir?

