Qlikozaminoqlikanlar, mukopolisaxaridlər (latınca mucus -selik) – tərkibinə aminosaxar-heksozaminlər1 daxil olduğu proteoqlikanlar, polisaxaridlərin karbohidrat hissəsidir. Qlikozaminoqlikanlar orqanizmdə proteoqlikanların zülal hissəsi ilə kovalent rabitə ilə birləşmişdir və onlara sərbəst halda rast gəlinmir.

Strukturu və tipləri
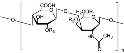
Qlikozaminoqlikanların molekulu uron turşularının (D-qlyukuron və ya L-iduronların) və sulfatlaşmış və asetilləşmiş aminosaxaridlərin qalığından qurulmuş təkrarlanan həlqələrdən ibarətdir. Qlikozaminoqlikanların tərkibində göstərilən əsas aminosaxarid komponentlərindən başqa, minorşəkər kimi adlanan L-fukoza, sial turşuları, D-mannoza və D-ksilozalara da rast gəlinir. Praktiki olaraq bütün qlikozaminoqlikanlar, proteoqlikanların molekulundakı zülallarla kovalent rabitə ilə birləşmişdir. Qlikozaminoqlikanlar yeddi əsas tiplərə bölünür. Onlardan altısı struktur baxımından oxşardır – onların polisaxarid zəncirində aminosaxaridlərin (N-asetilqlyukozamin və N-asetilqalaktozaminlərin) və heksuron turşularının (D-qlyukuron və ya L-iduronların) sulfatlaşmışqalıqlarından ibarət olub disaxarid həlqələri kimi bir birini əvəz edirlər. Bunlar aşağıdakılardan ibarətdir:
- qialuron turşuları
- xondroitin-4-sulfat
- xondroitin-6-sulfat
- dermatansulfat
- heparin
- heparansulfat
Qlikozaminoqlikanların yeddinci tipi –disaxarid həlqələrində olan keratansulfat və ya keratosulfatlarda uron turşularının əvəzinə D-qalaktoza yerləşmişdir. Qlikozaminoqlikanlarda bir- birini əvəz edən disaxarid həlqələrinin sayı çox böyük ola bilər. Məhz bu səbəbdən də proteoqlikanların molekul kütləsi bir neçə miiyona çata bilər. Müxtəlif qlikozaminoqlikanların strukturu ümumi olmasına baxmayaraq, onlar əhəmiyyətli dərəcədə fərqli xüsusiyyətlərə malik olurlar. Sulfat qrupu qlikozaminoqlikanlara oksigen atomu (O-sulfotlaşma) və ya azot atomu (N-sulfatlaşma) vasitəsilə birləşə bilər.
Bioloji əhəmiyyəti
Qlikozaminoqlikanlar proteoqlikanlarda, toxumaları birləşdirən hüceyrələrarası maddələrin tərkibində, sümüklərdə, sinovial mayesində, orqanizmin şüşəgörünüşündə olan göz bəbəyində olur. Proteoqlikanlar kollaqen və elastin lifləri ilə birlikdə birləşdirici matrikis (əsas maddə) əmələ gətirir. Qlikozaminoqlikanların nümayəndələrindən biri – heparindir. O laxtalanmağa qarşı aktiv maddə kimi istifadə olunur və qaraciyərin, ağ ciyərin, ürəyin, arteriya divarlarının toxumalarındakı hüceyrələrarası maddələrdə yerləşir. Proteoqlikanlar hüceyrələrin səthini örtərək ion mübadiləsində, immun reaksiyalarda, hüceyrələrin təbəqələşməsində mühüm rol oynayırlar. Qlikozaminoqlikanların parçalanmasının genetik pozulması nəsldən keçən qrupp xəstəliklərin mübadilə olunmasına – mukopolisaxaridlərin inkişafına səbəb olur.
İlkin mənbə
- Гликозаминогликаны (GAG): введение
vikipedia, viki, ensiklopediya, kitab, məqalə, oxumaq, pulsuz yüklə, qlikozaminoqlikanlar sözünün mənası, qlikozaminoqlikanlar haqqında məlumat. qlikozaminoqlikanlar nədir? qlikozaminoqlikanlar nə deməkdir?