Azərbaycanca (AZ) Azərbaycanca (AZ)English (US) English (US)Қазақша (KZ) Қазақша (KZ)Lietuva (LT) Lietuva (LT)Türkçe (TR) Türkçe (TR)O'zbekcha (UZ) O'zbekcha (UZ)
Dəstək
Pulsuz Yükləmə və Məlumat Platforması
  • Vikipediya
  • Musiqi

Pektin maddələri - uron turşusunun törəmələri olmaqla, həyat üçün vacib hesab olunan bir çox biopolimerlərin tərkibinə daxildir. Pektin maddələri bitkilərdə və

Pektin maddələri

  • Ana Səhifə
  • Vikipediya
  • Pektin maddələri

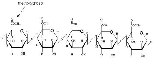
Pektin maddələri - uron turşusunun törəmələri olmaqla, həyat üçün vacib hesab olunan bir çox biopolimerlərin tərkibinə daxildir. Pektin maddələri bitkilərdə və bəzi su yosunlarında, əsasən isə meyvə və tərəvəzin tərkibində vardır. Pektin maddələrinə protopektin, pektin, pektin turşuları aid edilir.

Pektin maddələri ilə zəngin olan sitrus meyvələri
Pektinin quruluşu

Xarici keçid

  • Интернет-сайт Международной ассоциации производителей пектина (International Pectin Producers Association)  (ing.) Дополнительная информация о свойствах, производстве и применении пектина.
  • Производство и применение пектинов 2011-05-15 at the Wayback Machine — Интернет-страница о пектинах Лаборатории фундаментальных и прикладных исследований качества и технологий пищевых продуктов ФГБОУ ВПО «Московский государственный университет пищевых производств».
  • | Радиационный мониторинг жителей и их продуктов питания в Чернобыльской зоне Беларуси | Чернобыльская катастрофа УДК 621.029.553.5 2016-03-04 at the Wayback Machine
  • Пектин на сайте «Калоризатор»
  • E440 — Пектин на сайте «Про добавки»

vikipedia, viki, ensiklopediya, kitab, məqalə, oxumaq, pulsuz yüklə, Pektin maddələri haqqında məlumat. Pektin maddələri nədir? Pektin maddələri nə deməkdir?

←Növbəti YazıƏvvəlki Yazı→
Ən Oxunanlar - Vikipediya
  • Fevral 27, 2026

    Əbdülmalik Husi

  • Fevral 24, 2026

    BFƏ

  • Mart 01, 2026

    Kurt Levin

  • Fevral 23, 2026

    Aprel

  • Fevral 27, 2026

    Mondor xəstəliyi

Trend Mahnılar
  • Fevral 17, 2026

    Vusal Bilesuvarli & Naibe Sabirabadli - Eşq Əsiri (Klip 2026)

  • Fevral 21, 2026

    Lord Vertigo & Nilay Sems - Kimdir En Gozel ( Yeni 2026 )

  • Fevral 21, 2026

    Uzeyir Mehdizade - Popuri 3 ( Ekskluziv )

  • Fevral 24, 2026

    Afshin Azari - Can Deme 2026 (Yeni Klip)

  • Fevral 17, 2026

    İsmail Zade — Bir Adam (Rəsmi Audio)

Studia

  • Vikipediya
  • Musiqi

Xəbər Bülleteni Abunəliyi

Əlaqə Saxlayın
Bizimlə Əlaqə
© 2025 www.azur.az-az.nina.az - Bütün hüquqlar qorunur.
Müəllif hüquqları: Dadash Mammadov
Üst