Azərbaycanca (AZ) Azərbaycanca (AZ)English (US) English (US)Қазақша (KZ) Қазақша (KZ)Lietuva (LT) Lietuva (LT)Türkçe (TR) Türkçe (TR)O'zbekcha (UZ) O'zbekcha (UZ)
Dəstək
Pulsuz Yükləmə və Məlumat Platforması
  • Vikipediya
  • Musiqi

Amfetamin ( α-metilfeniletilamin) mərkəzi sinir sisteminin sintetik stimulyatoru və feniletilamin törəməsi olan anoreksigen maddədir. Təsir mexanizmi neyromedia

Amfetamin

  • Ana Səhifə
  • Vikipediya
  • Amfetamin

Amfetamin ( α-metilfeniletilamin) mərkəzi sinir sisteminin sintetik stimulyatoru və feniletilamin törəməsi olan anoreksigen maddədir. Təsir mexanizmi neyromediatorların ( dopamin, noradrenalin və serotonin ) sərbəst buraxılmasına əsaslanır.

Amfetamin psixi asılılığa səbəb ola bilən rekreativ psixoaktiv maddədir. Bir çox ölkələrdə DEHB və narkolepsiyanın müalicəsi üçün məhdud tibbi istifadəsinə icazə verilir. Amfetamin alveri beynəlxalq və milli qanunlarla məhdudlaşdırılır.

Mündəricat

Yaranma tarixi

Amfetamin ilk dəfə 1887-ci ildə Almaniyada rumın kimyaçısı Lazar Edeleanu tərəfindən sintez edilmişdir. Maddə 1920-ci illərdə astmanın müalicəsində efedrin əvəzedicisi kimi diqqət çəkdi. Amfetaminin psixoaktiv xüsusiyyətləri 1929-cu ildə amerikalı biokimyaçı Qordon Alles tərəfindən kəşf edilmişdir. 1932-ci ildə "Benzedrine" ticarət adı altında amfetaminin satışı başladı.1937-ci ildə amfetamin duzları tablet şəklində bazara çıxdı, narkolepsiya, Parkinson xəstəliyi, depressiya üçün müalicə və həmçinin arıqlamaq üçün bir vasitə kimi reklam edildi. İstirahət məqsədilə amfetamin istifadəsi halları hələ 1936-cı ildə təsvir edilmişdir.

İkinci Dünya müharibəsi zamanı ABŞ və Böyük Britaniya öz hərbi personalını amfetamin tabletləri ilə təmin edirdi. ( Almaniya və Yapon orduları metamfetamindən istifadə edirdilər.)

Amfetaminin nəzarətsiz istifadəsinin zərəri 1960-cı illərin əvvəllərində artıq aydın oldu. Xarakterik paranoid simptomları olan " amfetamin psixozları " halları hələ 1930-cu illərdə qeydə alınmışdır və artıq 1958-ci ildə bu simptomların dərmanla əlaqəsi sübut edilmişdir. 1970-ci ildə ABŞ hakimiyyəti amfetamini nəzarət edilən maddələrin siyahısına əlavə etdi və 1971-ci ildə BMT Psixotrop Maddələr haqqında Konvensiyanı qəbul etdi və burada amfetaminin də adı qeyd edilmişdir. 1970-ci illərin sonlarında ABŞ-da amfetamin istifadəsi azalmağa başladı, lakin kokain istifadəsi artdı. Skandinaviya, Polşa və Baltikyanı ölkələrdə nisbətən populyar olaraq qalmasına baxmayaraq, Avropada da amfetamin istifadəsi o zaman azalmışdır.

Xüsusiyyətləri

Rəngsiz ,yağlı maye halında, xarakterik qoxusu olan bir maddədir. Suda pis, orqanik məhlullarda isə yaxşı həll ola bilir.

Lakin satışda amfetamin adətən suda yaxşı həll olunan duzlar şəklində tapılır: sulfat, fosfat və hidroxlorid şəklində. Ən çox yayılmış duz amfetamin sulfat, ərimə nöqtəsi 280-281 °C olan ağ tozdur. Dekstroamfetamin sulfat 300 °C-də parçalanır.

Təsirləri

Amfetaminin mərkəzi stimullaşdırıcı təsiri əhval-ruhiyyənin yaxşılaşdırılmasında, diqqətin və konsentrasiyanın artmasında, həmçinin özünə inam və rahatlıq hissinin yaranmasına kömək edir. Amfetamin motor və nitq fəaliyyətini artırır, yuxunu və iştahı azaldır, səmərəliliyi artırır. Amfetaminin təsirinin mənfi tərəfi narahatlıq, yuxusuzluq və titrəmə hisslərinin olması ilə özünü göstərə bilər. Həmçinin, amfetamin panik və psixoza səbəb ola bilər.

Periferik təsirlər

Amfetaminin periferik təsiri kokainin təsirinə bənzəyir və əsasən sinir sisteminin stimullaşdırılmasına xidmət edir. Ürək-damar sisteminə təsiri taxikardiya və yüksək təzyiqdə özünü göstərir. Bundan əlavə, amfetamin bəzi hallarda midriaz, tez-tez - hipertermiya, titrəmə və ağız quruluğuna səbəb ola bilər.

Doza həddinin aşılması

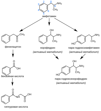
Amfetamin mübadiləsinin diaqramı

Amfetaminin həddindən artıq dozası ilk növbədə ürək-damar sistemi üçün təhlükəlidir. Amfetamin səbəb olduğu taxikardiya, yüksək qan təzyiqi işemik insult, subaraxnoidal qanaxma, miokard infarktı, aorta diseksiyasına səbəb ola bilər. Doza həddinin aşılmasının həyat üçün təhlükə yaradan digər nəticələrinə metabolik asidoz, rabdomiyoliz, kəskin böyrək çatışmazlığı və koaqulopatiya aiddir.

Amfetaminin artıq dozası zamanı istifadə olunan əsas dərman benzodiazepinlərdir. Konvulsiyaları aradan qaldırmaq üçün barbituratlar və propofol, qan təzyiqini azaltmaq üçün blokerlər və vazodilatatorlar da istifadə edilə bilər. Bədən istiliyini azaltmaq üçün xarici soyutmadan istifadə etmək mümkündür.

Tolerantlıq və həssaslıq

Amfetaminin müntəzəm istifadəsi ilə onun əhval-ruhiyyəni yaxşılaşdırmaq, ürək-damar sisteminə təsirləri və iştahı boğmaq kimi bir çox təsirlərinə qarşı tədricən tolerantlıq inkişaf edir və buna görə də amfetamin istifadəçiləri gündəlik 250-1000 mq-a qədər dozanı daim artırmağa məcbur olurlar.

Asılılıq

Bir çox digər dərmanlar kimi, amfetamin də narkotik qəbul etmək istəyi və onu tapmağa yönəlmiş davranış təzahürü ilə ifadə olunan psixoloji asılılığa səbəb ola bilər.

Amfetamindən fiziki asılılığın mövcudluğu məsələsi birmənalı deyil. Uzun müddətli istifadədən sonra (və ya bir neçə gün yüksək dozada istifadə edildikdən sonra) dərmanın qəfil dayandırılması yorğunluq, yuxululuq, aclıq və depressiyaya səbəb olur ki, bu da intiharın real riskini yarada bilər. Bu simptomlar imtina sindromunun bir hissəsi və ya sadəcə amfetaminlərin müntəzəm istifadəsi ilə müşayiət olunan xroniki yuxu və qida çatışmazlığının nəticəsi hesab edilə bilər.

Bu sindromlar adətən son amfetamin istifadəsindən sonra 24 saat ərzində baş verir, həftələrlə davam edə bilən iki ümumi fazaya bölünür. Bu sindromun birinci mərhələsi kəskindir və bir həftə ərzində yox olur. İkinci mərhələ, adətən 3 həftə və daha çox çəkə bilər (davam edən yuxu pozğunluqları - yüngül hipersomniya və ya yuxusuzluq). Amfetamindən imtina zamanı baş verən ən ağır simptomlar bir həftə və ya daha az müddətdə aradan qalxsa da, bəzi simptomlar həftələr və ya aylarla davam edə bilər. Bununla belə, amfetamindən imtina simptomları insanları müntəzəm narkotik istifadəsinə qayıtmağa təşviq edə bilər. 2009-cu ildə elmi məqalələrin geniş icmalına əsasən , heç bir dərman kəskin amfetamin çəkilmə simptomlarını azaltmaqda əhəmiyyətli təsir göstərmir.

vikipedia, viki, ensiklopediya, kitab, məqalə, oxumaq, pulsuz yüklə, amfetamin sözünün mənası, amfetamin haqqında məlumat. amfetamin nədir? amfetamin nə deməkdir?

←Növbəti YazıƏvvəlki Yazı→
Ən Oxunanlar - Vikipediya
  • Fevral 24, 2026

    Vilçek Torpağı

  • Fevral 27, 2026

    Dövlət büdcəsi

  • Fevral 27, 2026

    1878-ci il

  • Fevral 27, 2026

    Kərkük mühafazası

  • Fevral 24, 2026

    Lüksemburq dili

Trend Mahnılar
  • Fevral 17, 2026

    Gel Mene Addim Addim - Selale Sesli ( Tik Tok Her Kesin Axtardigi Mahni 2026 )

  • Fevral 17, 2026

    Vusal Bilesuvarli & Naibe Sabirabadli - Eşq Əsiri (Klip 2026)

  • Fevral 21, 2026

    Xatire İslam - Heyatima Xoş Gelmisen 2026 (Yeni Klip) 4K

  • Fevral 24, 2026

    Afshin Azari - Can Deme 2026 (Yeni Klip)

  • Fevral 25, 2026

    Damla - Anam Demişdi 2026 (Yeni Klip) 4K

Studia

  • Vikipediya
  • Musiqi

Xəbər Bülleteni Abunəliyi

Əlaqə Saxlayın
Bizimlə Əlaqə
© 2025 www.azur.az-az.nina.az - Bütün hüquqlar qorunur.
Müəllif hüquqları: Dadash Mammadov
Üst