Azərbaycanca (AZ) Azərbaycanca (AZ)Deutsch (DE) Deutsch (DE)English (US) English (US)Қазақша (KZ) Қазақша (KZ)Lietuva (LT) Lietuva (LT)සිංහල (LK) සිංහල (LK)Türkçe (TR) Türkçe (TR)O'zbekcha (UZ) O'zbekcha (UZ)中國人 (CN) 中國人 (CN)
Dəstək
Pulsuz Yükləmə və Məlumat Platforması
  • Vikipediya
  • Musiqi

Heparin (lat. heparinum, yun. ἧπαρ qaraciyər) sinonimläri: lat. Liquaemin, Pularin, Thromboliquin, Vetren və s. insan və heyvan orqanizmin təbii və fizioloji ol

Heparin

  • Ana Səhifə
  • Vikipediya
  • Heparin

Heparin (lat. heparinum, yun. ἧπαρ qaraciyər) sinonimläri: lat. Liquaemin, Pularin, Thromboliquin, Vetren və s. insan və heyvan orqanizmin təbii və fizioloji olaraq qanın laxtalanmasının qarşısını alan faktorudu. Fibrinolizin ilə birlikdə heparin orqanizmin qanın laxtalanmasının qarşısını alan fizioloji sistemə daxildir. Heparin birbaşa təsirə malik, bilavasitə qanın laxtalanma faktorlarına (XII, XI, X, IX, VII, II) təsir edən antikoaqulyantdır. O, trombinin sintezinin qarşısını alır, trombositlərin aqreqasiyasının azaldır. Heparinin qanın laxtalanmasının qarşısını alması həm lat. in vivo – orqanizmdə və həm də lat. in vitro orqaizmdən kənar (şüşədə) baş verir. Heparin qanın laxtalanmasının qarşısını almaqla yanaşı həm də hialuronidazanın aktivliyini azaldaraq, haradasa qanın fibrinolitik xassəsini artırır, tac damarlardakı qan axınını yaxşılaşdırmış olur. Heparin həm də hipolipidemik təsirə malikdir ki, bu da onun lipoprotein mənşəyli lipazanın aktivliyinin artırması ilə əlaqədardır. Heparin qlükuron turşusu və qlükozamin, etrifizasiya olunmuş kükürd turşusu qalıqlarından təşkil olunmuş turş mukopolisaxariddir. Nisbi şəkisi 16000-dir. Heparin insan və heyvan orqanizmindəki bazofil tosqun hüceyrələrdə sintez olunur. Orqanizmdə ən çox toplandığı yer qaraciyər və ağciyərlər, ən az toplandığı yer isə sklet əzələləri, dalaq və ürək əzələsidir. İribuynuzlu mal-qaranın ağciyərlərindən istehsal edilir. Tibbdə tətbiq üçün adətən natrium duzu şəklində ağ sarımtıl, qoxusuz suda və izotonik məhlulda həll olunan amorf toz şəklində buraxılır. 1%-li məhlulunun pH-ı 6,0-7,5-dir.

Heparin
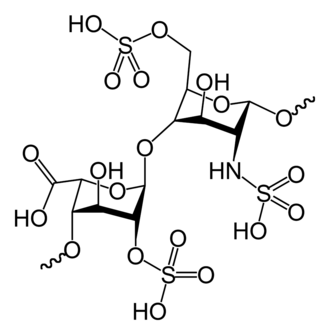
Kimyəvi quruluşun şəkli
Kimyəvi quruluşun şəkli
Kimyəvi birləşmə
IUPAC bax Heparin structure
Brutto-formulu C26H41NO34S4
Molyar kütlə 12000–15000 q/mol
CAS 9005-49-6
PubChem 772
DrugBank APRD00056
Tərkibi
Təsnifatı
ATK B01AB01, C05BA03 S01XA14
Farmakokinetika
Bioəlverişli nil
Metabolizm Qaraciyər
Yarımtəmizləmə dövrü 1.5 saat
Ekskresiya ?
İstifadə qaydası
v.d., d.a.
Vikianbarın loqosu Vikianbarda əlaqəli mediafayllar

Heparinin aktivliyi bioloji metodla: qanın laxtalanması müddətini uzaltmasına əsasən müəiyyən edilir. Beynəlxalq standarta əsasən 1mq heparin 130TV-ə (təsir vahidinə) malikdir. (1TV = 0,0077mq). Prakik olaraq preparat aktivliyi 1mq-də 120TV dən aşağı olmamaqla buraxılır.

Heparin preparatı həm vena daxilinə, əzələ daxilinə və həm də dəri altına yeridilərək tətbiq edilir. Birdəfəlik vena daxilinə inyeksiyadan dərhal sonra təsir edərək və təsir müddəti 4-5 saat çəkə bilir. Əzələ daxili injeksiyadan 13-30 dəqiqə sonra təsirə başlayaraq və 6 saata qədər çatır. Dəri altına yeridildikdən 40-50 dəqiqə ərzində təsirə başlayaraq 8-12 saata qədər davam edə bilir. Adətən effektli müalicə məqsədilə və dəqiqlik baxımından vena daxilinə 24 saatlıq avtomat spris – perfuzomat vasitəsilə yeridilməsi tövsiyə olunur.

Tətbiqi

Heparin preparatından müxtəlif tromboembolik xəstəliklə və onların fəsadlarına qarşı həm profilaktik həm də müalicə məqsədilə istifadə olunur. Miokard infarktları, magistral damarların: arteriyaların, venaların, beyin və göz damarlarının trombozlarında, xüsusilə süni qan dövranı şəraitində aparılan ürək-damar cərrahiyyəsində; transplantologiyada, dializ zamanı trombəmələgəlmənin qarışsını almaq və onu lokalizə etmək məqsədilə geniş tətbiqini tapmışdır.

vikipedia, viki, ensiklopediya, kitab, məqalə, oxumaq, pulsuz yüklə, heparin sözünün mənası, heparin haqqında məlumat. heparin nədir? heparin nə deməkdir?

←Növbəti YazıƏvvəlki Yazı→
Ən Oxunanlar - Vikipediya
  • Fevral 27, 2026

    Bərbət

  • Fevral 27, 2026

    Texnogen

  • Fevral 27, 2026

    Sumqayıt FK

  • Fevral 27, 2026

    Yəşim

  • Fevral 26, 2026

    Trias

Trend Mahnılar
  • Mart 04, 2026

    Javid Amir — Sənə Nə (Rəsmi Musiqi Videosu)

  • Fevral 24, 2026

    Afshin Azari - Can Deme 2026 (Yeni Klip)

  • Mart 06, 2026

    Lord Vertigo & Sevinc Urek - Umrumda Deyil 2026 ( Yeni Klip )

  • Mart 06, 2026

    Şöhret Memmedov - Yazıq Üreyim (Official Video)

  • Fevral 21, 2026

    Uzeyir Mehdizade - Popuri 3 ( Ekskluziv )

Studia

  • Vikipediya
  • Musiqi

Xəbər Bülleteni Abunəliyi

Əlaqə Saxlayın
Bizimlə Əlaqə
© 2025 www.azur.az-az.nina.az - Bütün hüquqlar qorunur.
Müəllif hüquqları: Dadash Mammadov
Üst